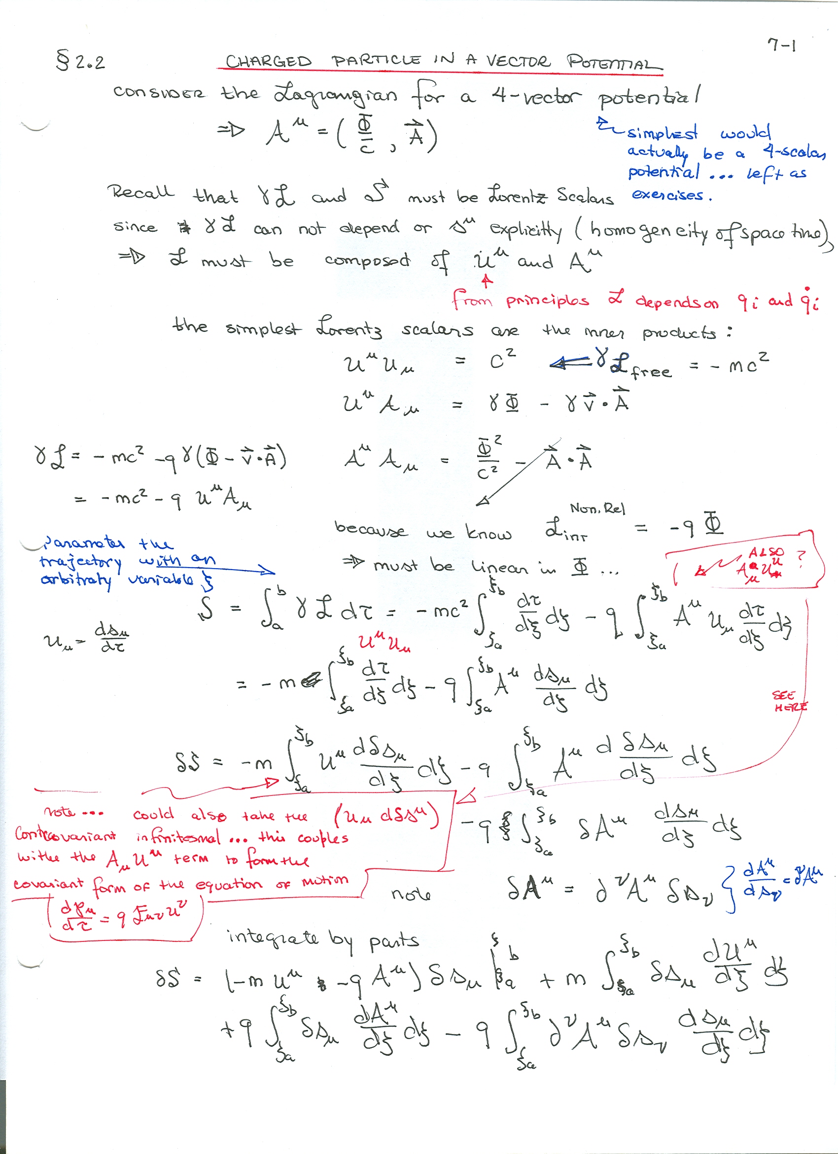
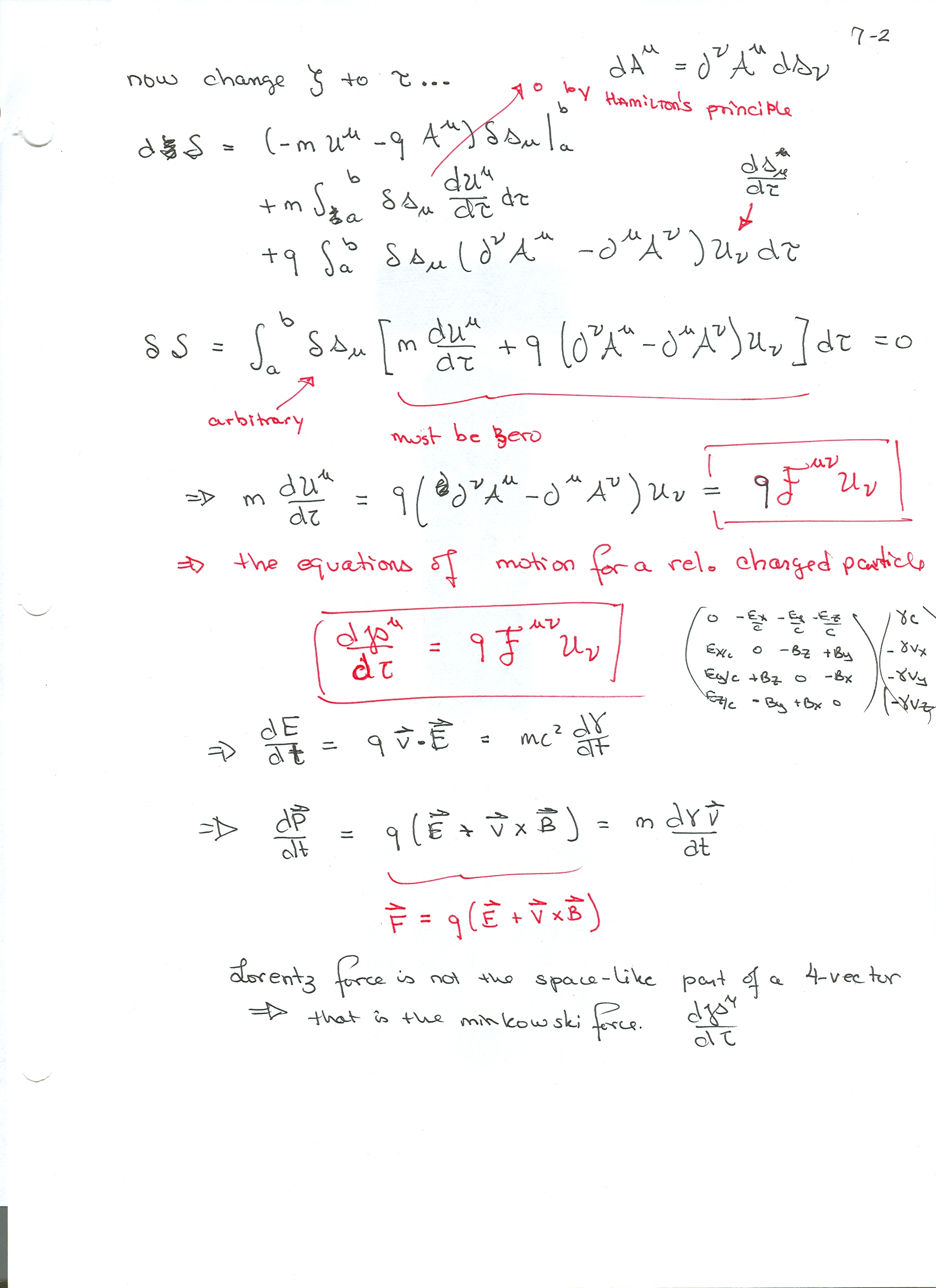
Charged Particle in a Vector Potential

29/Jan/07


Click here to start


Table of Contents

Page 1

Page 2

Hw 2.10

Hw 2.14

Author: Daniel Cebra