The Electromagnetic Field Tensor

22/Jan/07


Click here to start


Table of Contents

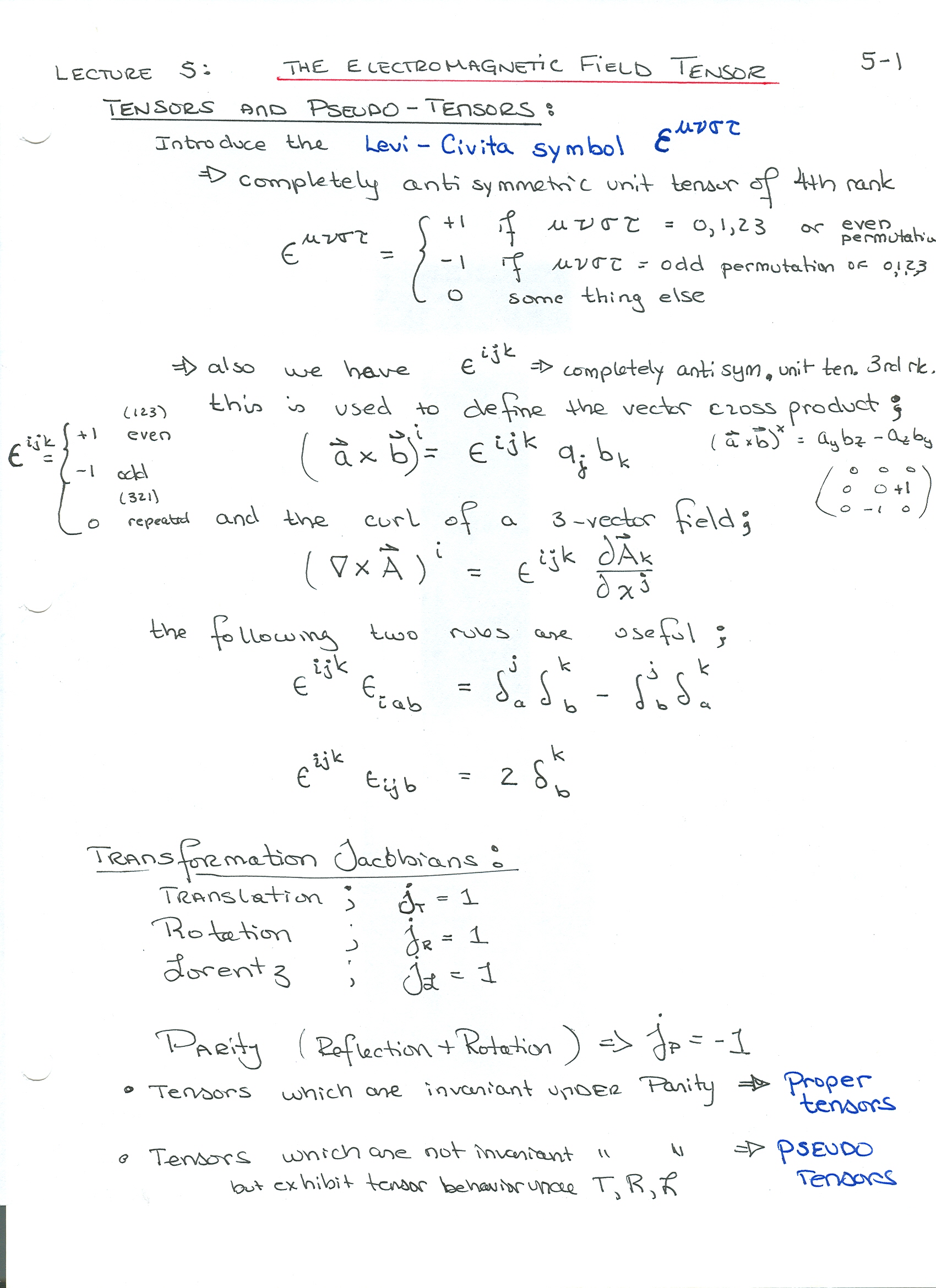
Page 1

Page 2

Page 3

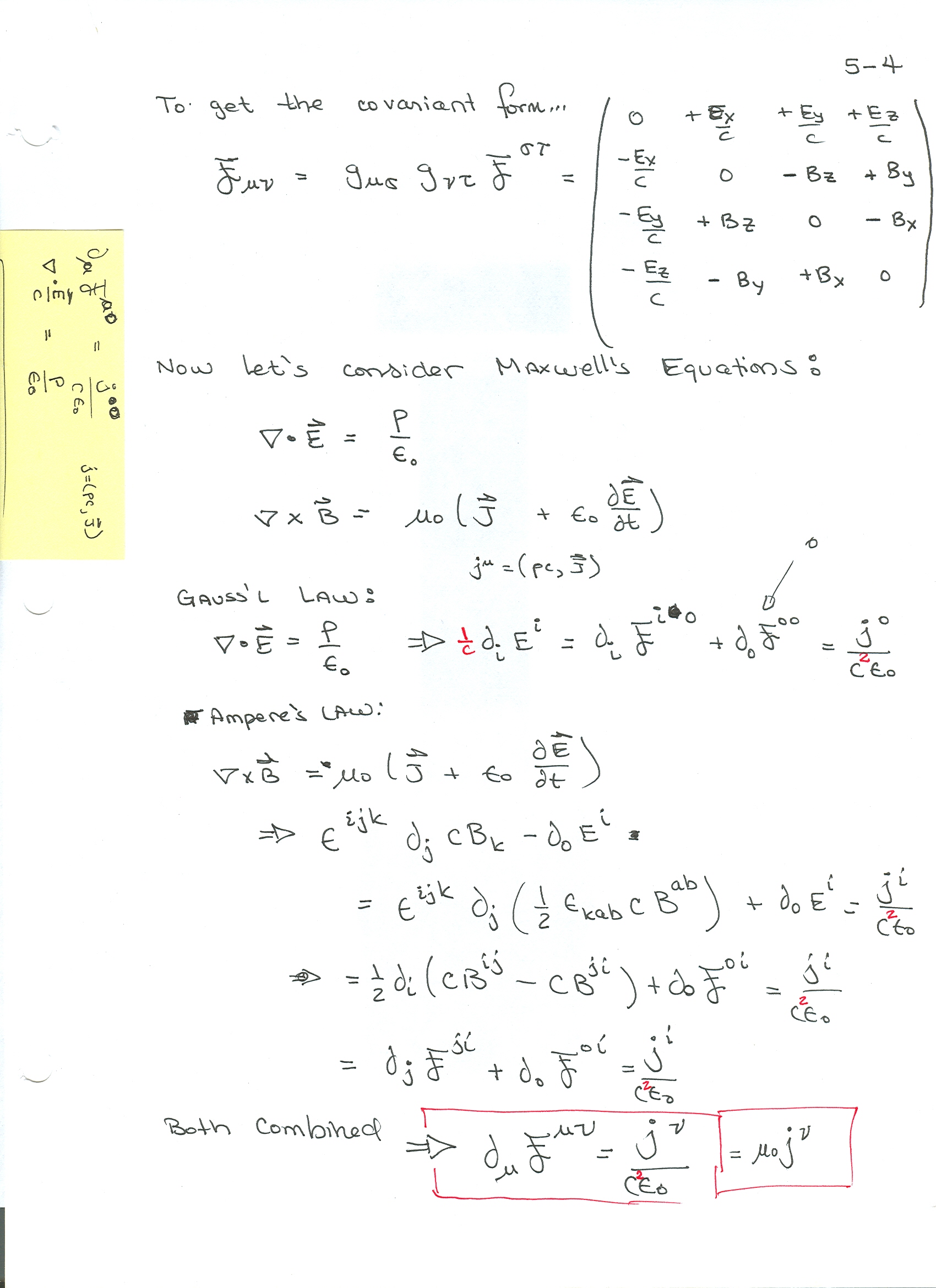
Page 4

Page 5

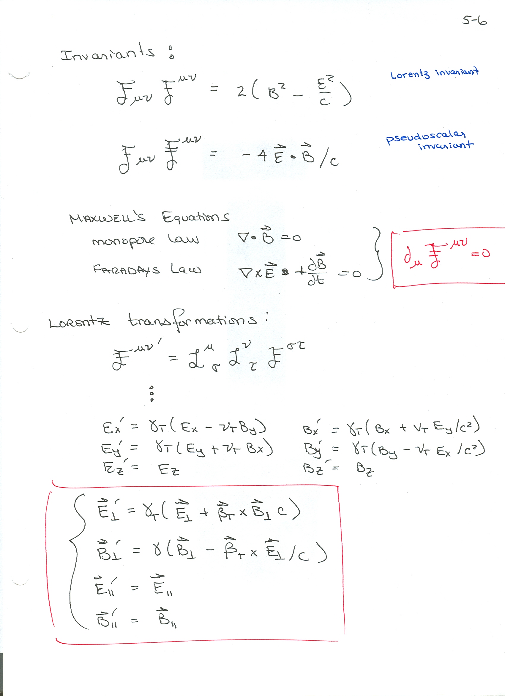
Page 6

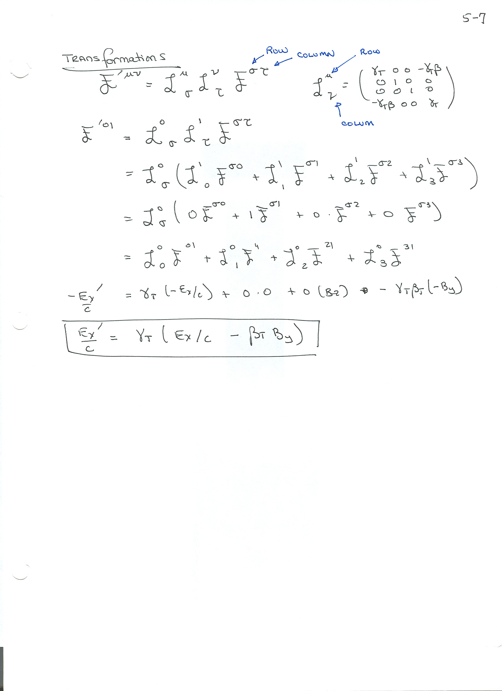
Page 7

Hw 1.19

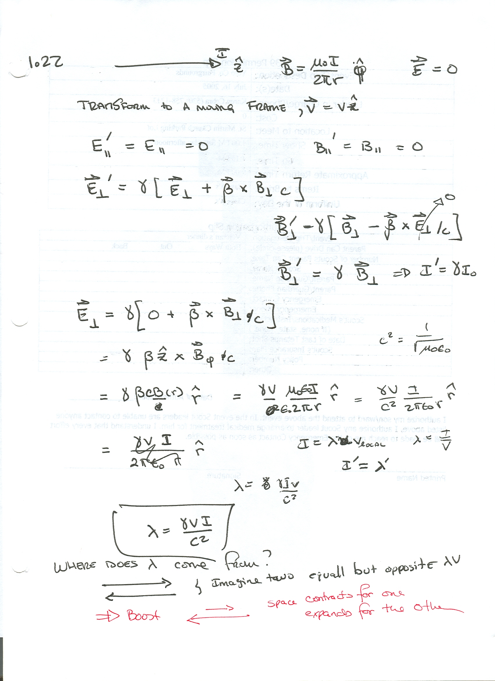
Hw 1.22

Author: Daniel Cebra