Separation of Variables - Cylindrical Coordinates

28/Feb/07


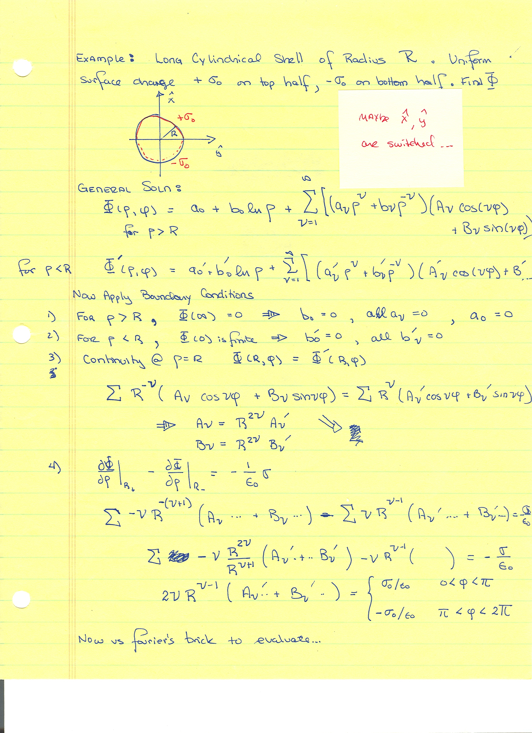
Click here to start


Table of Contents

Page 1

Page 2

Page 3

Page 4

Page 5

Page 6

Author: Daniel Cebra