Separation of Variables - Spherical Coordinates

26/Feb/07


Click here to start


Table of Contents

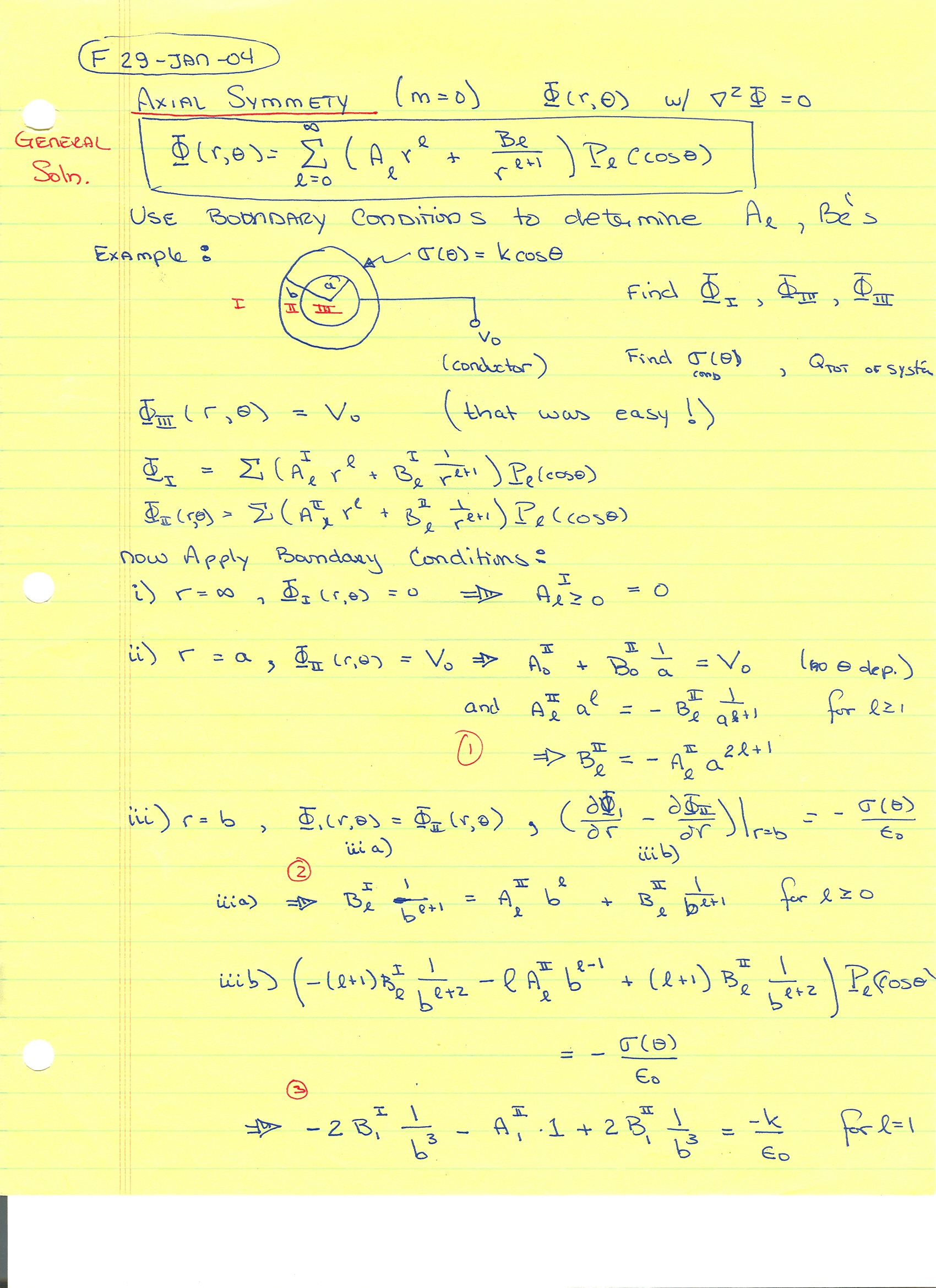
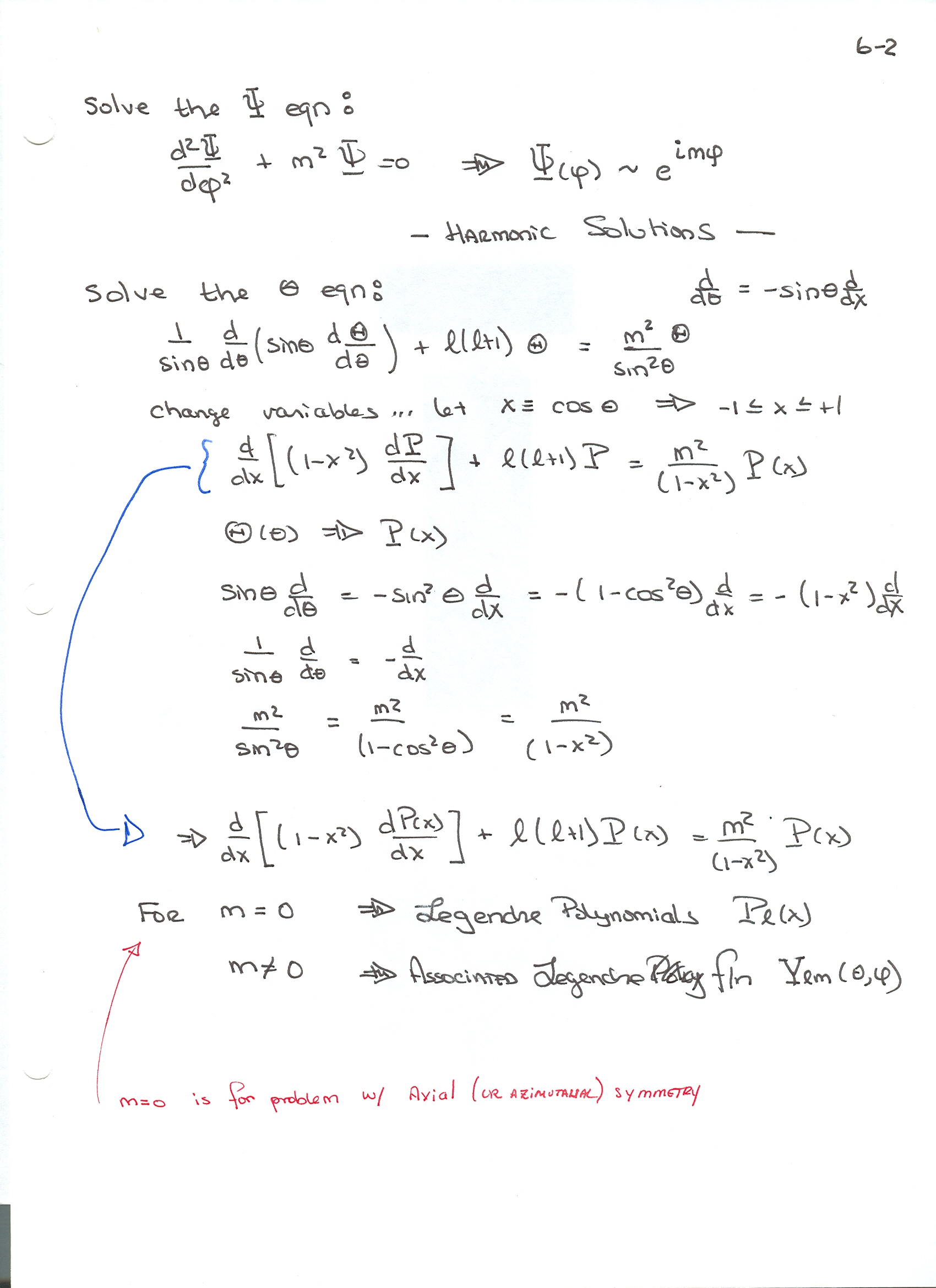
Page 1

Page 2

Page 3

Page 4

Page 5

Page 6

Page 7

Page 8

Page 9

Page 10

Page 11

Page 12

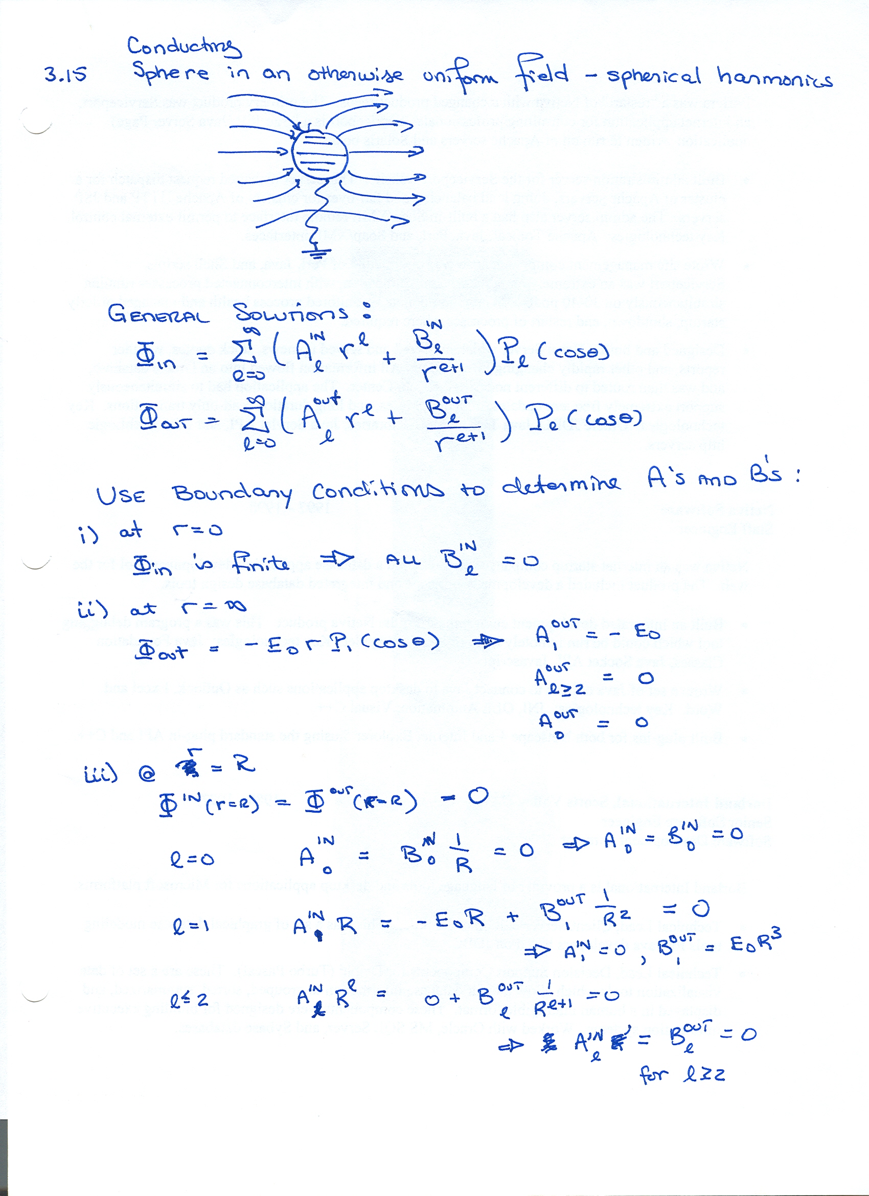
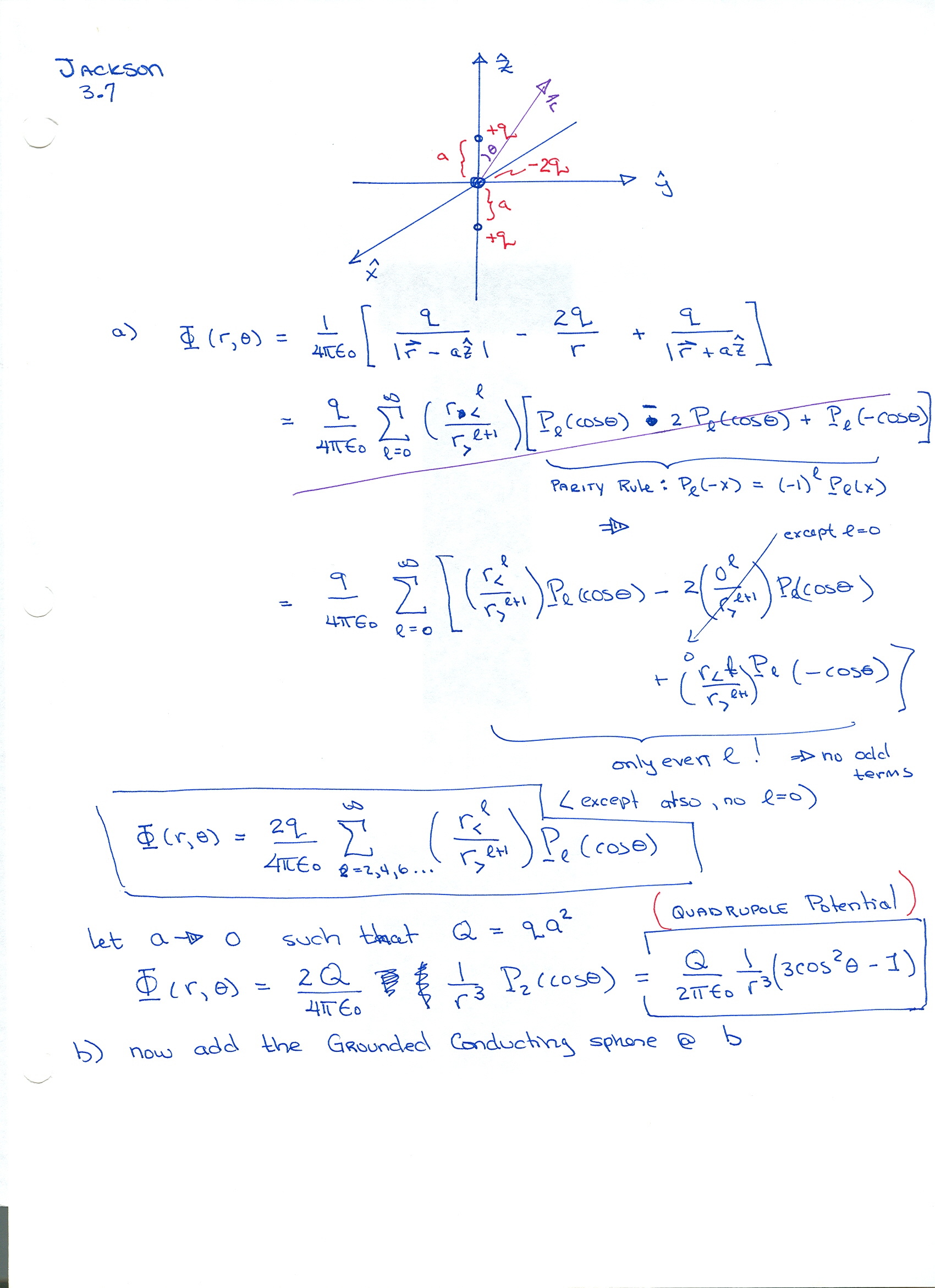
Hw 3.15a

Hw 3.15b

Author: Daniel Cebra